太子參藥材加工方式有直接曬干和略燙后曬干,本實驗利用頂空固相微萃取-氣相色譜-質譜(HS-SPME-GC-MS)對包括略燙后曬干品在內的太子參不同加工品的揮發性成分進行鑒定和比較,采用正交偏最小二乘-判別分析(OPLS-DA)篩選出略燙后曬干品與其他加工品之間氣味差異的主要成分。另外,憑借Heracles NEO超快速氣相電子鼻結合數理統計方法,建立基于氣味特征的快速識別模型對略燙后曬干品進行鑒別。
太子參不同加工品的性狀差異
不同加工品的表面和斷面特征見圖1,5類加工品的外形沒有較大的差異,而略燙后曬干品的斷面以深黃色為主,其他加工品的斷面為黃白色至淺黃色。
成分鑒定
不同加工品的總離子流圖見圖2。成分鑒定結果顯示,從陰干品、直接曬干品、低溫烘干品、高溫烘干品、略燙后曬干品5種加工品總共鑒定出46種揮發性成分,分別鑒定出40、42、42、41、29種成分,共有揮發性成分16種。
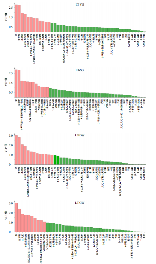
利用OPLS-DA將該加工品與市場主流的陰干品、直接曬干品、低溫烘干品、高溫烘干品分別進行比較并進行置換檢驗,確認4組比較分析均未出現過擬合,將變量重要性投影(VIP)大于1的成分視為主要差異成分。得分散點圖見圖4,置換檢驗圖見圖5,VIP圖見圖6。
Heracles NEO超快速氣相電子鼻分析
主成分分析(PCA)
輸出弱極性柱與中極性柱的Heracles NEO超快速氣相色譜圖(圖8),利用AlphaSoft軟件自動對齊色譜峰,篩選出判別能力大于0.850的特征峰,總共得到15組可用于比較分析的色譜峰,將峰面積數據分別視作不同傳感器的響應值,進行歸一化處理,對23批次樣品進行PCA。結果(圖9)顯示,PCA1與PCA2之和大于80%,直接曬干品、陰干品、低溫烘干品3組加工品的距離較近,略燙后曬干品單獨位于一個象限并且與其余4組加工品的距離均較遠,這與本課題組產地調研所得出的“略燙后曬干品與其他加工品的氣味具有明顯差異”的結論契合。
采用AlphaSoft軟件自帶的軟獨立建模分析工具對23批次太子參不同加工品進行分析,將略燙后曬干品作為參照物,初步建立一種用于快速識別這類加工品的模型(圖10)。結果顯示,略燙后曬干品與其他4組加工品能夠完全分開,直接曬干品、陰干品、低溫烘干品、高溫烘干品均落在參照區間外,交叉驗證得分接近100,表明該模型有效,即通過Heracles NEO超快速氣相電子鼻能夠實現這類加工品與其余市場主流加工品的快速區分。
AromChembase數據庫收集了超過14萬種揮發性化合物的名稱、色譜柱保留指數等信息,并且約2000種成分具有氣味描述,常被應用于食品、香精香料、法醫學、石化等領域中的氣味識別和定性。
消費者與患者的評價也顯示,直接以太子參粉末為原料的部分中成藥,具有令人不適的土腥味和霉味,這類氣味也常被誤認為由產品變質引起。將太子參不同加工品揮發性成分的CAS號在該數據庫中檢索,然后以“土的、腥味、霉味、農藥”作為關鍵詞從結果中檢索,結果(表3)顯示,有31種成分具有氣味描述,其中庚醛(農藥)、反式-2-庚烯醛(土的,農藥)、1-辛烯-3-醇(土的)、2-正戊基呋喃(大豆腥味,土的)、3-辛烯-2-酮(土的)、2-乙酰基吡咯(霉味)、3-乙基-2,5-二甲基吡嗪(土的,霉味)、2-異丙基-3-甲氧基吡嗪(土的)、土臭素(土的,霉味)這9種成分可能為太子參“特異氣味”的主要來源。
本實驗對比了太子參不同加工品的性狀,經沸水略燙后曬干的太子參藥材的斷面特征與其他加工品均有較大差異。基于HS-SPME-GC-MS鑒定并比較了不同加工品的揮發性成分差異,陰干品與直接曬干品較為相似,而略燙后曬干品、高溫烘干品、低溫烘干品這3組加工品差異較大。與其他市場主流加工品相比,經略燙加工處理后曬干的藥材氣味得到了較好的改善,其物質基礎體現在:以土臭素、2-正戊基呋喃、2-異丙基-3-甲氧基吡嗪、1-辛烯-3-醇、3-辛烯-2-酮為代表的“特異氣味”得到了減輕,丙位己內酯、正戊基丁內酯未被檢測到,而以萘、麥芽酚、檸檬烯為代表的芳香類成分得到提升或保留。另外,略燙后曬干品與其他市場主流加工品之間的氣味差異能夠通過Heracles NEO超快速電子鼻分析來體現而被快速識別區分。
來源:感官科學與評定,轉載請注明來源。
參考文獻:劉自強,胡培,韓童童,等.頂空固相微萃取-氣相色譜-質譜結合Heracles NEO超快速氣相電子鼻分析太子參不同加工品的揮發性成分[J].中草藥,2024,55(20):6874-6888.
提醒:文章僅供參考,如有不當,歡迎留言指正和交流。且讀者不應該在缺乏具體的專業建議的情況下,擅自根據文章內容采取行動,因此導致的損失,此公眾號運營方不負責。如文章涉及侵權或不愿我平臺發布,請聯系小編。
表1 加工方法及編號信息

不同加工品的表面和斷面特征見圖1,5類加工品的外形沒有較大的差異,而略燙后曬干品的斷面以深黃色為主,其他加工品的斷面為黃白色至淺黃色。

圖1 不同加工品的表面和斷面特征
HS-SPME-GC-MS分析成分鑒定
不同加工品的總離子流圖見圖2。成分鑒定結果顯示,從陰干品、直接曬干品、低溫烘干品、高溫烘干品、略燙后曬干品5種加工品總共鑒定出46種揮發性成分,分別鑒定出40、42、42、41、29種成分,共有揮發性成分16種。

圖2 不同加工品的揮發性成分總離子流圖
繪制聚類熱圖以呈現不同加工品揮發性成分整體特征的異同(圖3)。熱圖顯示,5類太子參加工品中,略燙后曬干品LT1~LT6單獨聚為一類,高溫烘干品GW1~GW4單獨聚為一類,低溫烘干品DW1~DW5單獨聚為一類,陰干品YG1~YG3、直接曬干品SG3聚為一類,直接曬干品SG1、SG3~SG5聚為一類,結果說明略燙后曬干品、高溫烘干品、低溫烘干品之間的揮發性成分差異較大,而直接曬干品與陰干品較為相似。

圖3 不同加工品的氣味成分聚類分析熱圖
略燙后曬干品與其他加工品的氣味差異分析利用OPLS-DA將該加工品與市場主流的陰干品、直接曬干品、低溫烘干品、高溫烘干品分別進行比較并進行置換檢驗,確認4組比較分析均未出現過擬合,將變量重要性投影(VIP)大于1的成分視為主要差異成分。得分散點圖見圖4,置換檢驗圖見圖5,VIP圖見圖6。

圖4 略燙后曬干品與其他加工品的OPLS-DA得分散點圖


圖5 略燙后曬干品與其他加工品的置換檢驗圖


圖6 略燙后曬干品與其他加工品的VIP圖

圖7 略燙后曬干品與其他加工品的揮發性成分主要差異
綜合分析,略燙后曬干品較其他市場主流加工品,土臭素、2-正戊基呋喃、2-異丙基-3-甲氧基吡嗪、1-辛烯-3-醇、3-辛烯-2-酮這5種“特異氣味”成分得到了較好地祛除或降低,丙位己內酯、正戊基丁內酯這2種內酯類成分未被檢測到,萘、檸檬烯、麥芽酚這些具有芳香特性的揮發性成分得到了提升或保留。Heracles NEO超快速氣相電子鼻分析
主成分分析(PCA)
輸出弱極性柱與中極性柱的Heracles NEO超快速氣相色譜圖(圖8),利用AlphaSoft軟件自動對齊色譜峰,篩選出判別能力大于0.850的特征峰,總共得到15組可用于比較分析的色譜峰,將峰面積數據分別視作不同傳感器的響應值,進行歸一化處理,對23批次樣品進行PCA。結果(圖9)顯示,PCA1與PCA2之和大于80%,直接曬干品、陰干品、低溫烘干品3組加工品的距離較近,略燙后曬干品單獨位于一個象限并且與其余4組加工品的距離均較遠,這與本課題組產地調研所得出的“略燙后曬干品與其他加工品的氣味具有明顯差異”的結論契合。

圖8 不同加工品的Heracles NEO超快速氣相色譜圖

圖9 不同加工品的Heracles NEO超快速氣相電子鼻響應的PCA結果
軟獨立建模分析采用AlphaSoft軟件自帶的軟獨立建模分析工具對23批次太子參不同加工品進行分析,將略燙后曬干品作為參照物,初步建立一種用于快速識別這類加工品的模型(圖10)。結果顯示,略燙后曬干品與其他4組加工品能夠完全分開,直接曬干品、陰干品、低溫烘干品、高溫烘干品均落在參照區間外,交叉驗證得分接近100,表明該模型有效,即通過Heracles NEO超快速氣相電子鼻能夠實現這類加工品與其余市場主流加工品的快速區分。

圖10 以略燙后曬干品為參照物的軟獨立建模分析結果
AromChembase數據庫定性分析AromChembase數據庫收集了超過14萬種揮發性化合物的名稱、色譜柱保留指數等信息,并且約2000種成分具有氣味描述,常被應用于食品、香精香料、法醫學、石化等領域中的氣味識別和定性。
消費者與患者的評價也顯示,直接以太子參粉末為原料的部分中成藥,具有令人不適的土腥味和霉味,這類氣味也常被誤認為由產品變質引起。將太子參不同加工品揮發性成分的CAS號在該數據庫中檢索,然后以“土的、腥味、霉味、農藥”作為關鍵詞從結果中檢索,結果(表3)顯示,有31種成分具有氣味描述,其中庚醛(農藥)、反式-2-庚烯醛(土的,農藥)、1-辛烯-3-醇(土的)、2-正戊基呋喃(大豆腥味,土的)、3-辛烯-2-酮(土的)、2-乙酰基吡咯(霉味)、3-乙基-2,5-二甲基吡嗪(土的,霉味)、2-異丙基-3-甲氧基吡嗪(土的)、土臭素(土的,霉味)這9種成分可能為太子參“特異氣味”的主要來源。
表3 AromChembase數據庫檢索出的氣味成分

來源:感官科學與評定,轉載請注明來源。
參考文獻:劉自強,胡培,韓童童,等.頂空固相微萃取-氣相色譜-質譜結合Heracles NEO超快速氣相電子鼻分析太子參不同加工品的揮發性成分[J].中草藥,2024,55(20):6874-6888.
提醒:文章僅供參考,如有不當,歡迎留言指正和交流。且讀者不應該在缺乏具體的專業建議的情況下,擅自根據文章內容采取行動,因此導致的損失,此公眾號運營方不負責。如文章涉及侵權或不愿我平臺發布,請聯系小編。




